- 14.4 使用 select 切换协程
- 练习:
- 练习:
14.4 使用 select 切换协程
从不同的并发执行的协程中获取值可以通过关键字select来完成,它和switch控制语句非常相似(章节5.3)也被称作通信开关;它的行为像是“你准备好了吗”的轮询机制;select监听进入通道的数据,也可以是用通道发送值的时候。
select {case u:= <- ch1:...case v:= <- ch2:......default: // no value ready to be received...}
default 语句是可选的;fallthrough 行为,和普通的 switch 相似,是不允许的。在任何一个 case 中执行 break 或者 return,select 就结束了。
select 做的就是:选择处理列出的多个通信情况中的一个。
- 如果都阻塞了,会等待直到其中一个可以处理
- 如果多个可以处理,随机选择一个
- 如果没有通道操作可以处理并且写了
default语句,它就会执行:default永远是可运行的(这就是准备好了,可以执行)。
在 select 中使用发送操作并且有 default可以确保发送不被阻塞!如果没有 case,select 就会一直阻塞。
select 语句实现了一种监听模式,通常用在(无限)循环中;在某种情况下,通过 break 语句使循环退出。
在程序 goroutine_select.go 中有 2 个通道 ch1 和 ch2,三个协程 pump1()、pump2() 和 suck()。这是一个典型的生产者消费者模式。在无限循环中,ch1 和 ch2 通过 pump1() 和 pump2() 填充整数;suck() 也是在无限循环中轮询输入的,通过 select 语句获取 ch1 和 ch2 的整数并输出。选择哪一个 case 取决于哪一个通道收到了信息。程序在 main 执行 1 秒后结束。
示例 14.10-goroutine_select.go:
package mainimport ("fmt""time")func main() {ch1 := make(chan int)ch2 := make(chan int)go pump1(ch1)go pump2(ch2)go suck(ch1, ch2)time.Sleep(1e9)}func pump1(ch chan int) {for i := 0; ; i++ {ch <- i * 2}}func pump2(ch chan int) {for i := 0; ; i++ {ch <- i + 5}}func suck(ch1, ch2 chan int) {for {select {case v := <-ch1:fmt.Printf("Received on channel 1: %d\n", v)case v := <-ch2:fmt.Printf("Received on channel 2: %d\n", v)}}}
输出:
Received on channel 2: 5Received on channel 2: 6Received on channel 1: 0Received on channel 2: 7Received on channel 2: 8Received on channel 2: 9Received on channel 2: 10Received on channel 1: 2Received on channel 2: 11...Received on channel 2: 47404Received on channel 1: 94346Received on channel 1: 94348
一秒内的输出非常惊人,如果我们给它计数(goroutine_select2.go),得到了 90000 个左右的数字。
练习:
练习 14.7:
- a)在练习 5.4 的 for_loop.go 中,有一个常见的 for 循环打印数字。在函数
tel中实现一个 for 循环,用协程开始这个函数并在其中给通道发送数字。main()线程从通道中获取并打印。不要使用time.Sleep()来同步:goroutine_panic.go - b)也许你的方案有效,可能会引发运行时的 panic:
throw:all goroutines are asleep-deadlock!为什么会这样?你如何解决这个问题?goroutine_close.go - c)解决 a)的另外一种方式:使用一个额外的通道传递给协程,然后在结束的时候随便放点什么进去。
main()线程检查是否有数据发送给了这个通道,如果有就停止:goroutine_select.go
练习 14.8:
从示例 6.10 的斐波那契程序开始,制定解决方案,使斐波那契周期计算独立到协程中,并可以把结果发送给通道。
结束的时候关闭通道。main() 函数读取通道并打印结果:goFibonacci.go
使用练习 6.9 中的算法写一个更短的 gofibonacci2.go
使用 select 语句来写,并让通道退出(gofibonacci_select.go)
注意:当给结果计时并和 6.10 对比时,我们发现使用通道通信的性能开销有轻微削减;这个例子中的算法使用协程并非性能最好的选择;但是 gofibonacci3 方案使用了 2 个协程带来了 3 倍的提速。
练习 14.9:
做一个随机位生成器,程序可以提供无限的随机 0 或者 1 的序列:random_bitgen.go
练习 14.10:polar_to_cartesian.go
(这是一种综合练习,使用到第 4、9、11 章和本章的内容。)写一个可交互的控制台程序,要求用户输入二位平面极坐标上的点(半径和角度(度))。计算对应的笛卡尔坐标系的点的 x 和 y 并输出。使用极坐标和笛卡尔坐标的结构体。
使用通道和协程:
channel1用来接收极坐标channel2用来接收笛卡尔坐标
转换过程需要在协程中进行,从 channel1 中读取然后发送到 channel2。实际上做这种计算不提倡使用协程和通道,但是如果运算量很大很耗时,这种方案设计就非常合适了。
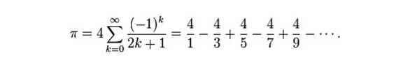
练习 14.11: concurrent_pi.go / concurrent_pi2.go
使用以下序列在协程中计算 pi:开启一个协程来计算公式中的每一项并将结果放入通道,main() 函数收集并累加结果,打印出 pi 的近似值。

计算执行时间(参见第 6.11 节)
再次声明这只是为了一边练习协程的概念一边找点乐子。
如果你需要的话可使用 math.pi 中的 Pi;而且不使用协程会运算的更快。一个急速版本:使用 GOMAXPROCS,开启和 GOMAXPROCS 同样多个协程。
习惯用法:后台服务模式
服务通常是是用后台协程中的无限循环实现的,在循环中使用 select 获取并处理通道中的数据:
// Backend goroutine.func backend() {for {select {case cmd := <-ch1:// Handle ...case cmd := <-ch2:...case cmd := <-chStop:// stop server}}}
在程序的其他地方给通道 ch1,ch2 发送数据,比如:通道 stop 用来清理结束服务程序。
另一种方式(但是不太灵活)就是(客户端)在 chRequest 上提交请求,后台协程循环这个通道,使用 switch 根据请求的行为来分别处理:
func backend() {for req := range chRequest {switch req.Subjext() {case A1: // Handle case ...case A2: // Handle case ...default:// Handle illegal request ..// ...}}}
