- 创建开源项目
- 取一个好的名字
- 挑选好 LICENSE
- 公有领域
- GPL
- MIT
- Creative Commons
创建开源项目
人们出于不同的目的来创建开源项目,可不论目的是什么,过程都是一样的。
- 首先,我们需要为我们的项目取一个名字。
- 然后,为我们的开源项目选择一个合适的 LICENSE
- 然后再去创建项目
取一个好的名字
取名字,从来就不是一件容易的事。
因此,我就长话短说,一般就是取一个有意义的名字,当然没有意义也没有任何问题。
通常而言,如果自己计划有一系列的开源项目,那么我们可以保持一定的命令规则。
挑选好 LICENSE
在二十世纪而七十年代末和八十年代初,为了防止自己的软件被竞争对手所使用,大多数厂家停止分发其软件源代码,并开始使用版权和限制性软件许可证,来限制或者禁止软件源代码的复制或再分配。随后,Richard Matthew Stallman(Richard Matthew Stallman)发起了自由软件运动,他开创了 Copyleft 的概念:使用版权法的原则来保护使用、修改和分发自由软件的权利,并且是描述这些术语的自由软件许可证的主要作者。最为人所称道的是GPL(被z广泛使用的自由软件协议)。^rms
(PS:关于自由软件及 RMS 的更多信息、历史,可以阅读《若为自由故:自由软件之父 - 理查德 斯托曼传》)
随后,便诞生了开源软件的概念,开源的要求比自由软件宽松一些^gnu_gpl。迄今发布的自由软件源代码都是开源软件,而并非所有的开源软件都是自由软件。这是因为不同的许可(协议)赋予用户不同的权利,如 GPL 协议强制要求开源修改过源码的代码,而宽松一点的 MIT 则不会有这种要求。
如下是不同开源许可证的市场占有率及使用情况。

又比如,在我们看到的一些外版书籍上,如果拥有代码。那么作者一般就会在前言或者类似的位置里,指明书中代码的版权所属。如:
也许你需要在自己的程序或文档中用到本书的代码,但除非大篇幅地使用,否则不必与我们联系取得授权。例如,用本书中的几段代码编写程序无需请求许可,blabla。
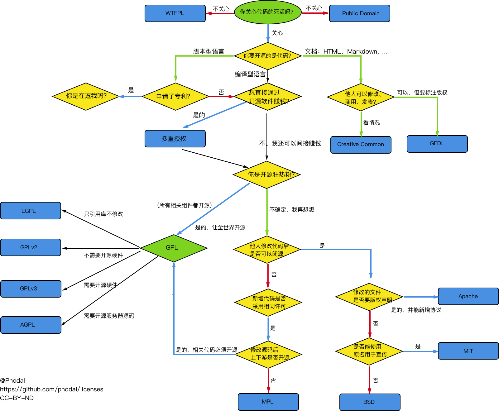
于是,选择一个合理的 LICENSE,就变成了一个有趣的话题。为此,笔者做了一个如何进行开源协议选型的流程图:

简单地来说,这些 License 之间是一些权利的区别,如当你把代码放置到公有领域,就意味着任何人可以修改,并且不需要标明出注;可如果你想要别人标明出处及作者,你就需要 MIT 协议;而你希望别人闭源的话,那么你就需要 MPL 协议等等。
那么,下面让我们简单地介绍一下不同的几个协议。
公有领域
WTFPL(Do What The Fuck You Want To Public License,中文译名:你他妈的想干嘛就干嘛公共许可证)是一种不太常用的、极度放任的自由软件许可证。它的条款基本等同于贡献到公有领域。^wtfpl
这就意味着,对于拿到这些代码的其他人,他们想怎么修改就可以怎么修改。
这取决于
GPL
由于 GPL 的传染性,便意味着,他人引用我们的代码时,其所写的代码也需要使用 GPL 开源。即:GPL 是有 “传染性” 的 “病毒” ,因为 GPL 条款规定演绎作品也必须是 GPL 的。
而如果我们只针对的是,他人可以使用库,而不开源,则可以用 LGPL。但是修改库则不适用。
MIT
因此,一般而言,我使用的是 MIT 协议。至少我保留了一个署名权,即你可以修改我的代码,但是在 LICENSE 里必须加上我的名字。
选用 MIT 特别有意思,特别是在最近几年里,发生过:
- iView “抄袭” Element UI 事件
- AndroidTVLauncher “抄袭” 事件
等等。这告诫了我们,如果你不想要有这种经历,那么就不要用 MIT 了。
Creative Commons
是的,当我写 Markdown 的时候,考虑到未来会以纸质书的形式出现,便会使用 CC-BY-NC-ND 协议:
- CC -> Creative Commons
- BY -> 署名(英语:Attribution,by)
- NC -> 非商业性使用(英语:NonCommercial)
- ND -> 禁止演绎(英语:NoDerivs)。
即,任何人可以使用我写的电子书来自由复制、散布、展示及演出,但是不得用于商业用途(作者本人可以)。它可以随意地放在他的博客上,他的各个文章里。但是必须标明出自,并且不得改变、转变或更改本作品。
如果你不介意的话,你可以使用公有领域(Public Domain)。可是这样一来,万一有一天,别人直接拿的作品出书,你就骂爹了。
